Официальное опубликование правовых актов
ОФИЦИАЛЬНОЕ ОПУБЛИКОВАНИЕ
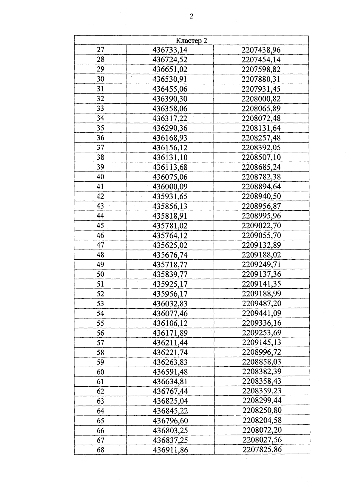
Указ Губернатора Брянской области от 12.02.2024 № 15
"Об установлении охранных зон памятников природы регионального значения, расположенных в Брасовском районе Брянской области, утверждении их положений и границ"
Номер опубликования: 3200202402190007
Дата опубликования: 19.02.2024
Страница №18 из 56:
Увеличить