Официальное опубликование правовых актов
ОФИЦИАЛЬНОЕ ОПУБЛИКОВАНИЕ
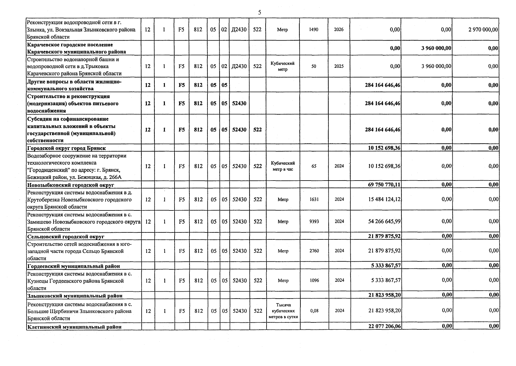
Постановление Правительства Брянской области от 05.02.2024 № 25-п
"О внесении изменений в постановление Правительства Брянской области от 7 декабря 2023 года № 631-п"
Номер опубликования: 3200202402090001
Дата опубликования: 09.02.2024
Страница №18 из 28:
Увеличить