Официальное опубликование правовых актов
ОФИЦИАЛЬНОЕ ОПУБЛИКОВАНИЕ
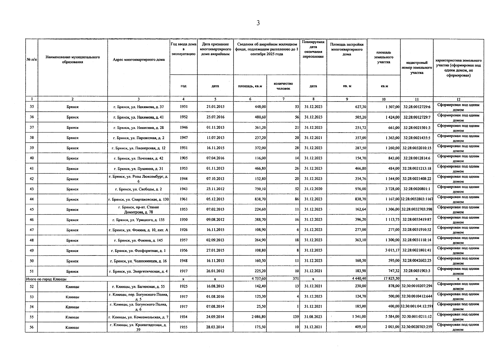
Постановление Правительства Брянской области от 29.01.2024 № 17-п
"Об итогах выполнения региональной адресной программы "Переселение граждан из аварийного жилищного фонда на территории Брянской области" (2019 — 2023 годы)"
Номер опубликования: 3200202402020011
Дата опубликования: 02.02.2024
Страница №7 из 13:
Увеличить