Официальное опубликование правовых актов
ОФИЦИАЛЬНОЕ ОПУБЛИКОВАНИЕ
Постановление Правительства Брянской области от 26.12.2023 № 757-п
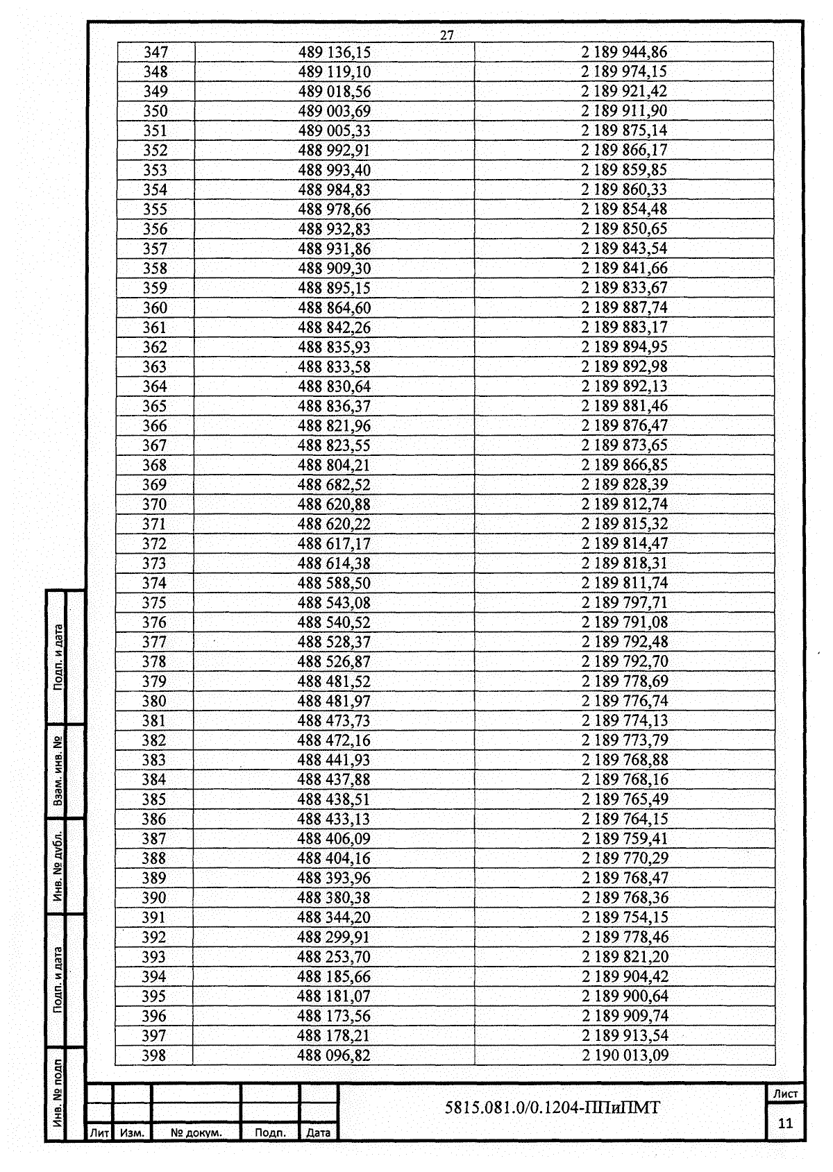
"Об утверждении основной части документации по планировке территории для размещения линейного объекта "Газопровод высокого давления от ГРС Брянск-3 (Белые Берега) до н.п. Малое Полпино Брянской области"
Номер опубликования: 3200202312290014
Дата опубликования: 29.12.2023
Страница №28 из 108:
Увеличить