Распоряжение Губернатора Брянской области от 27.12.2023 № 1528-рг
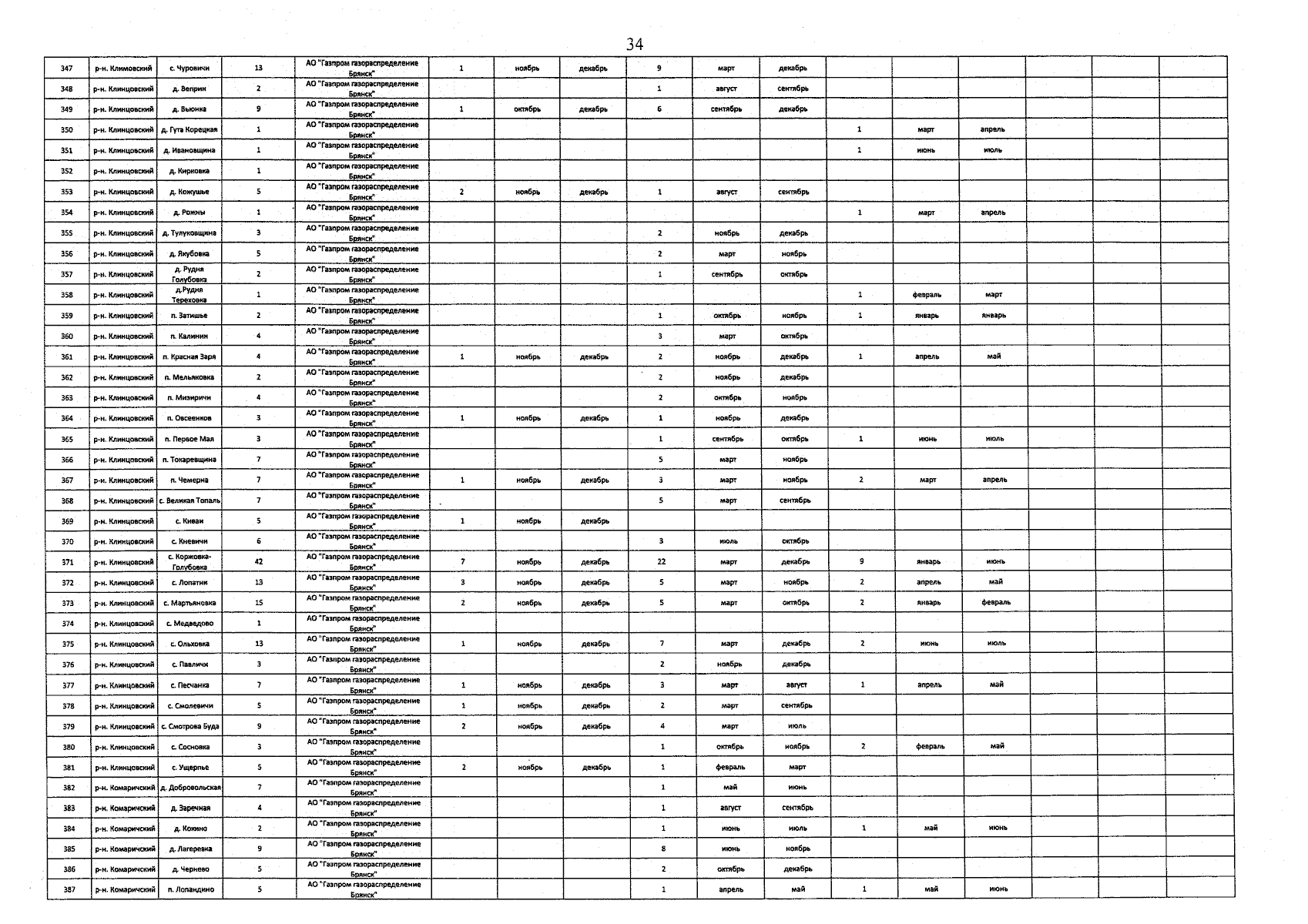
"О внесении изменений в региональную программу газификации жилищно-коммунального хозяйства, промышленных и иных организаций Брянской области на 2022 — 2031 годы"
"О внесении изменений в региональную программу газификации жилищно-коммунального хозяйства, промышленных и иных организаций Брянской области на 2022 — 2031 годы"
Номер опубликования: 3200202312290011
Дата опубликования:
29.12.2023
