Официальное опубликование правовых актов
ОФИЦИАЛЬНОЕ ОПУБЛИКОВАНИЕ
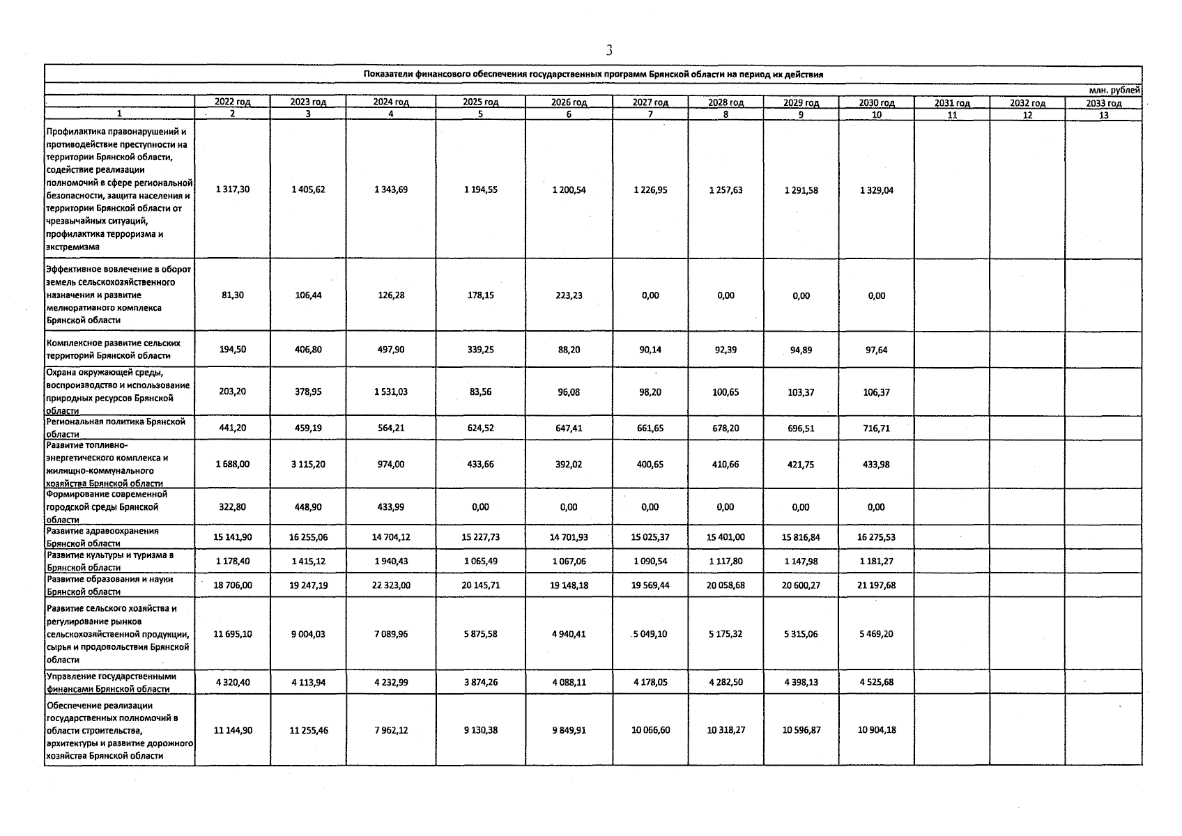
Постановление Правительства Брянской области от 20.12.2023 № 698-п
"О внесении изменений в бюджетный прогноз Брянской области на долгосрочный период"
Номер опубликования: 3200202312250024
Дата опубликования: 25.12.2023
Страница №4 из 5:
Увеличить