Официальное опубликование правовых актов
ОФИЦИАЛЬНОЕ ОПУБЛИКОВАНИЕ
Постановление Правительства Брянской области от 11.12.2023 № 658-п
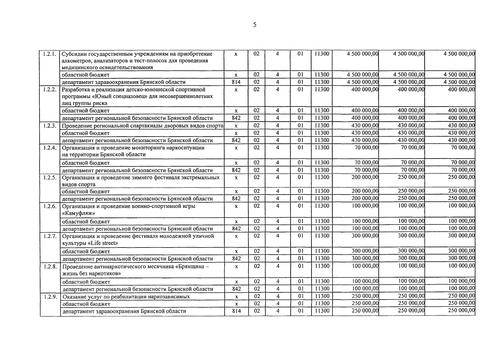
"О внесении изменений в государственную программу "Профилактика правонарушений и противодействие преступности на территории Брянской области, содействие реализации полномочий в сфере региональной безопасности, защита населения и территории Брянской области от чрезвычайных ситуаций, профилактика терроризма и экстремизма"
Номер опубликования: 3200202312180002
Дата опубликования: 18.12.2023
Страница №5 из 16:
Увеличить