Официальное опубликование правовых актов
ОФИЦИАЛЬНОЕ ОПУБЛИКОВАНИЕ
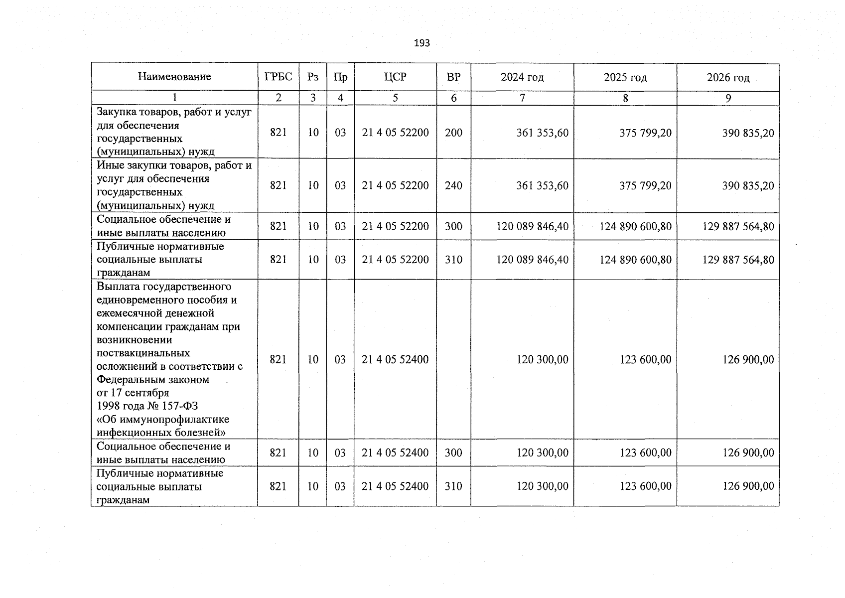
Закон Брянской области от 04.12.2023 № 95-З
"Об областном бюджете на 2024 год и на плановый период 2025 и 2026 годов"
Номер опубликования: 3200202312060001
Дата опубликования: 06.12.2023
Страница №360 из 1186:
Увеличить