Официальное опубликование правовых актов
ОФИЦИАЛЬНОЕ ОПУБЛИКОВАНИЕ
Постановление Правительства Брянской области от 13.11.2023 № 543-п
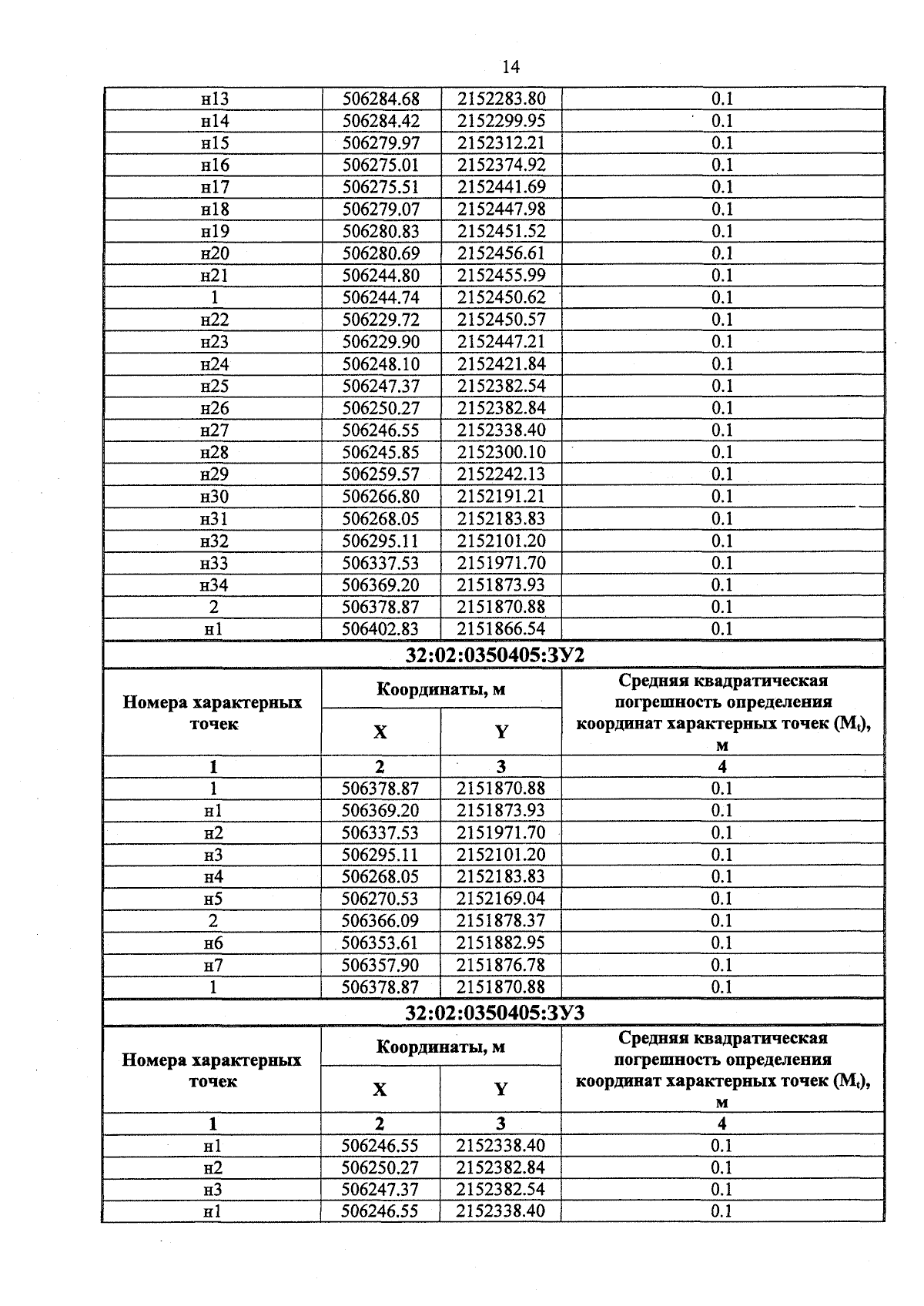
"Об утверждении основной части проекта межевания территории для размещения линейного объекта "Строительство автомобильной дороги ст. Чернетово — м-н Первомайский г. Сельцо в Брянском районе Брянской области"
Номер опубликования: 3200202311170014
Дата опубликования: 17.11.2023
Страница №16 из 18:
Увеличить