Официальное опубликование правовых актов
ОФИЦИАЛЬНОЕ ОПУБЛИКОВАНИЕ
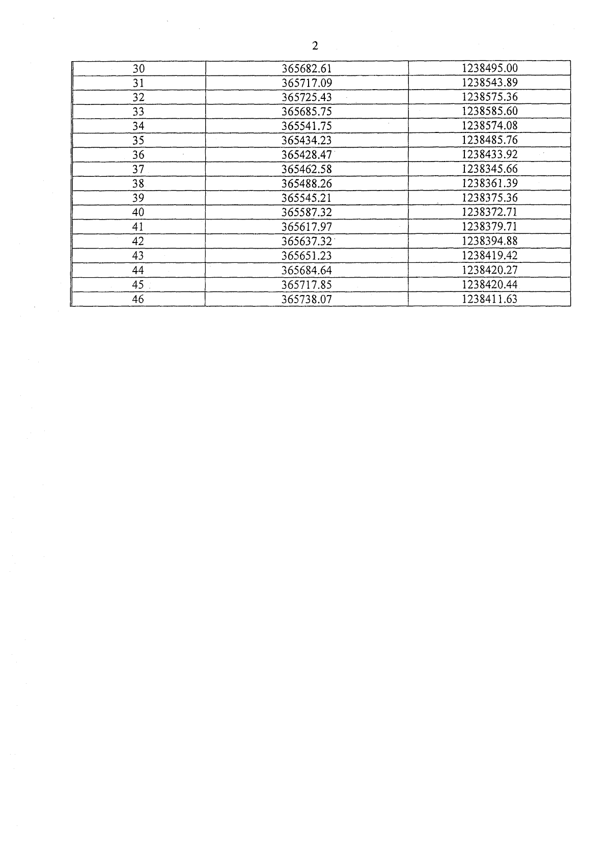
Указ Губернатора Брянской области от 02.11.2023 № 150
"О внесении изменений в указ Губернатора Брянской области от 13 июля 2023 года № 82 "Об установлении охранных зон памятников природы регионального значения, расположенных в Климовском районе Брянской области, и утверждении их положений и границ"
Номер опубликования: 3200202311030005
Дата опубликования: 03.11.2023
Страница №4 из 7:
Увеличить