Официальное опубликование правовых актов
ОФИЦИАЛЬНОЕ ОПУБЛИКОВАНИЕ
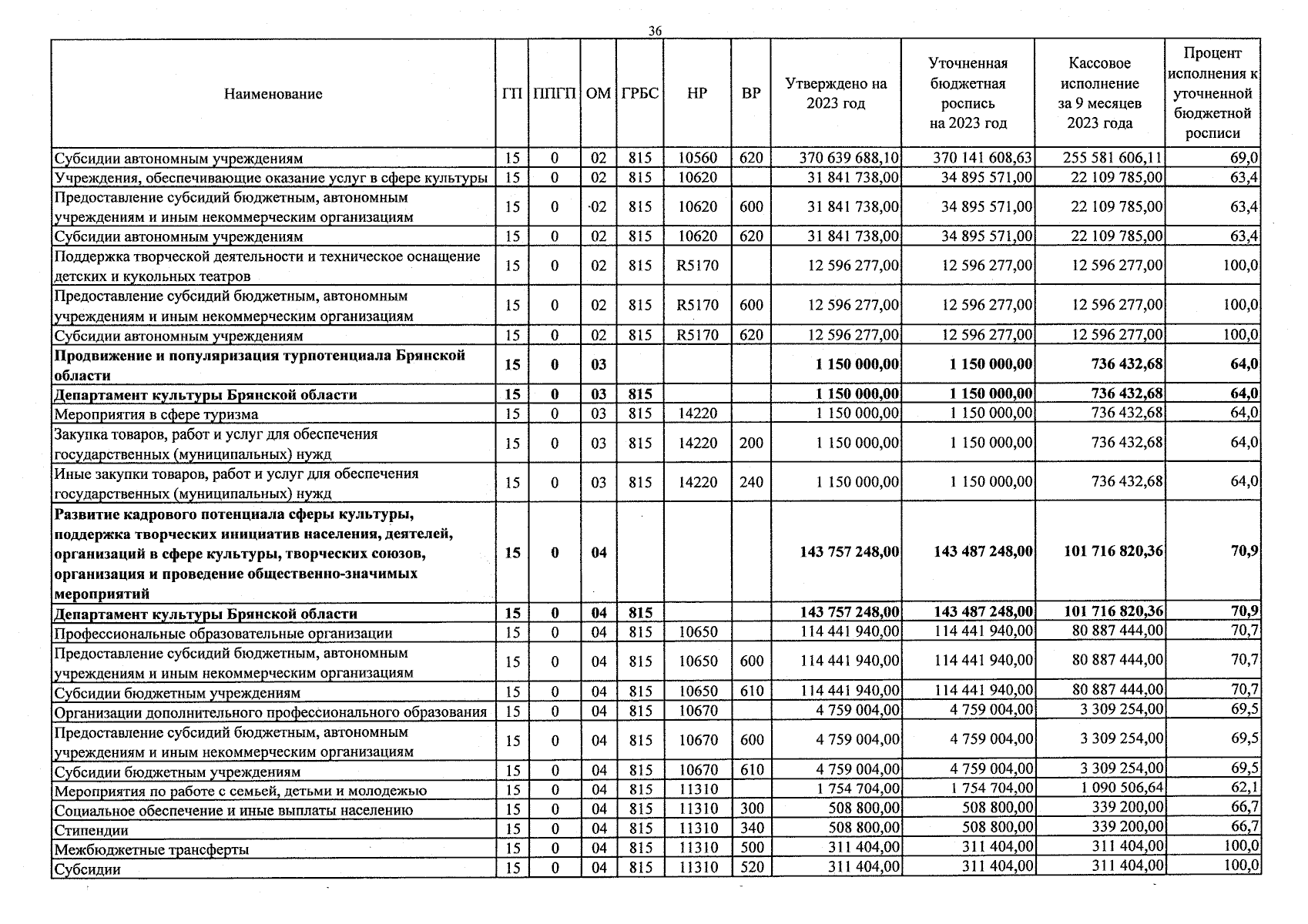
Постановление Правительства Брянской области от 23.10.2023 № 500-п
"Об утверждении отчета об исполнении областного бюджета за 9 месяцев 2023 года"
Номер опубликования: 3200202310270003
Дата опубликования: 27.10.2023
Страница №236 из 349:
Увеличить