Официальное опубликование правовых актов
ОФИЦИАЛЬНОЕ ОПУБЛИКОВАНИЕ
Постановление Правительства Брянской области от 14.08.2023 № 370-п
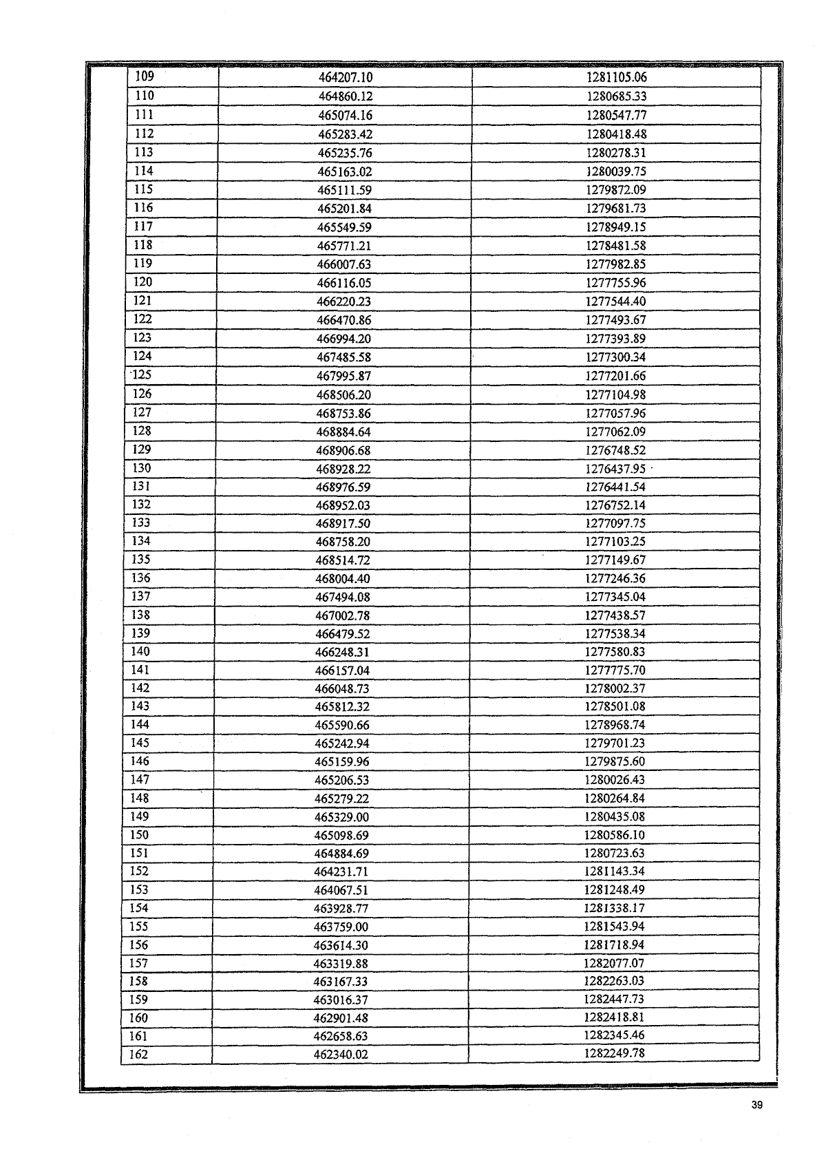
"Об утверждении основной части проекта планировки территории, содержащей проект межевания территории, для размещения объекта энергетики регионального значения "Воздушная линия электропередачи 110 кВ Высокое — Луговая", расположенного в Унечском районе Брянской области"
Номер опубликования: 3200202308180011
Дата опубликования: 18.08.2023
Страница №40 из 50:
Увеличить