Официальное опубликование правовых актов
ОФИЦИАЛЬНОЕ ОПУБЛИКОВАНИЕ
Постановление Правительства Брянской области от 07.08.2023 № 361-п
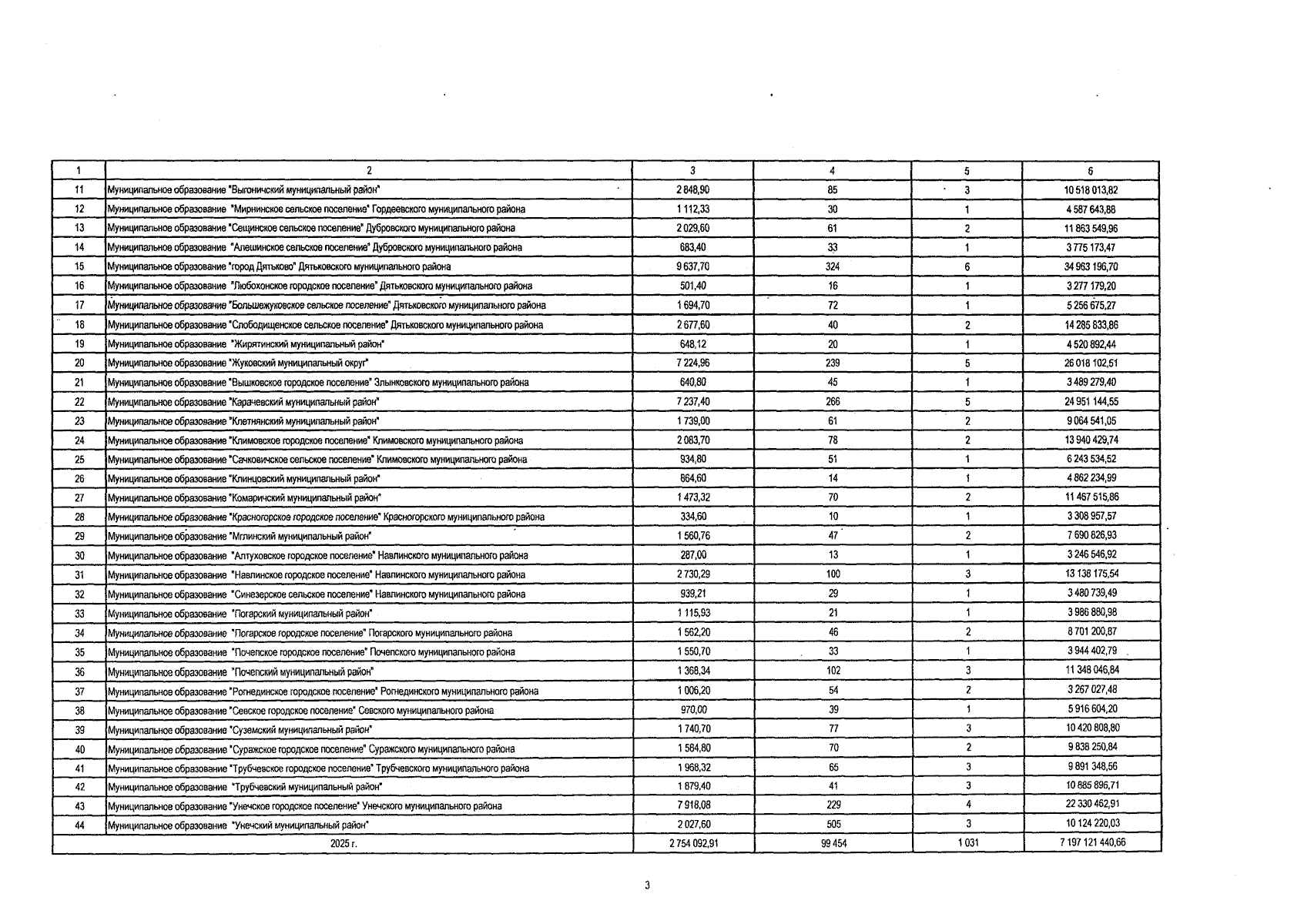
"О внесении изменений в краткосрочный (2023 - 2025 годы) план реализации региональной программы "Проведение капитального ремонта общего имущества многоквартирных домов на территории Брянской области" (2014 — 2043 годы)"
Номер опубликования: 3200202308110001
Дата опубликования: 11.08.2023
Страница №67 из 69:
Увеличить