Официальное опубликование правовых актов
ОФИЦИАЛЬНОЕ ОПУБЛИКОВАНИЕ
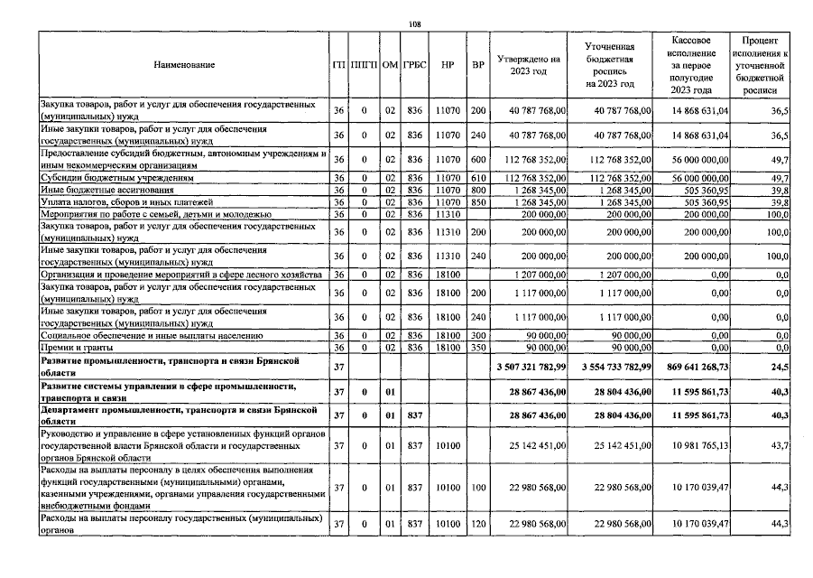
Постановление Правительства Брянской области от 24.07.2023 № 326-п
"Об утверждении отчета об исполнении областного бюджета за первое полугодие 2023 года"
Номер опубликования: 3200202307280009
Дата опубликования: 28.07.2023
Страница №304 из 337:
Увеличить