Официальное опубликование правовых актов
ОФИЦИАЛЬНОЕ ОПУБЛИКОВАНИЕ
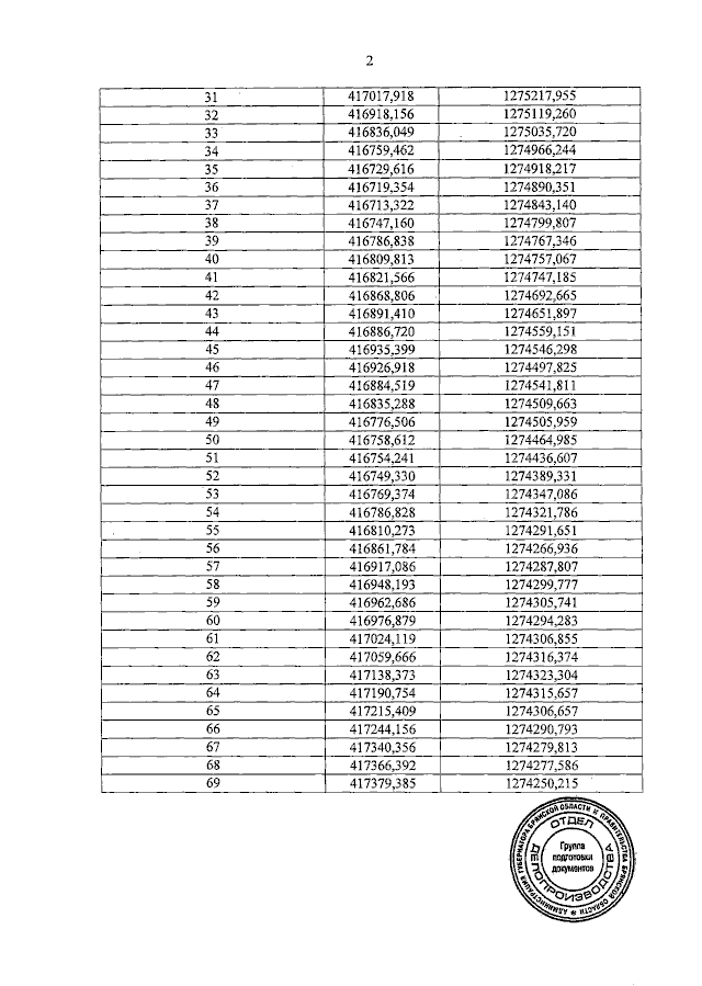
Указ Губернатора Брянской области от 12.07.2023 № 80
"Об установлении охранных зон памятников природы регионального значения, расположенных в Стародубском муниципальном округе Брянской области, и утверждении их положений и границ"
Номер опубликования: 3200202307170002
Дата опубликования: 17.07.2023
Страница №11 из 24:
Увеличить