Официальное опубликование правовых актов
ОФИЦИАЛЬНОЕ ОПУБЛИКОВАНИЕ
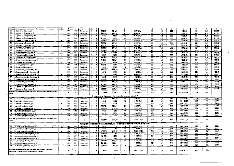
Постановление Правительства Брянской области от 05.06.2023 № 209-п
"О внесении изменений в краткосрочный (2023 - 2025 годы) план реализации региональной программы "Проведение капитального ремонта общего имущества многоквартирных домов на территории Брянской области" (2014 - 2043 годы)"
Номер опубликования: 3200202306080001
Дата опубликования: 08.06.2023
Страница №36 из 68:
Увеличить