Официальное опубликование правовых актов
ОФИЦИАЛЬНОЕ ОПУБЛИКОВАНИЕ
Постановление Правительства Брянской области от 24.03.2023 № 111-п
"О внесении изменений в постановление Правительства Брянской области от 20 декабря 2022 года № 626-п"
Номер опубликования: 3200202303280013
Дата опубликования: 28.03.2023
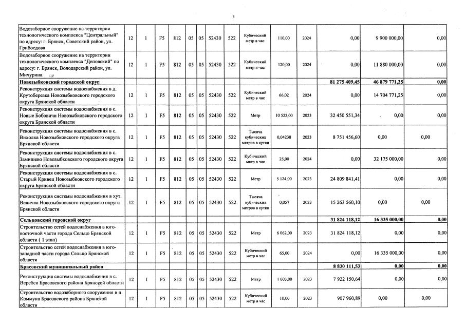
Страница №22 из 49:
Увеличить