Официальное опубликование правовых актов
ОФИЦИАЛЬНОЕ ОПУБЛИКОВАНИЕ
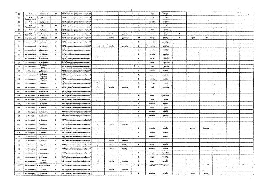
Распоряжение Губернатора Брянской области от 26.12.2022 № 1398-рг
"О внесении изменений в региональную программу газификации жилищно-коммунального хозяйства, промышленных и иных организаций Брянской области на 2022 - 2031 годы"
Номер опубликования: 3200202212290030
Дата опубликования: 29.12.2022
Страница №32 из 137:
Увеличить