Официальное опубликование правовых актов
ОФИЦИАЛЬНОЕ ОПУБЛИКОВАНИЕ
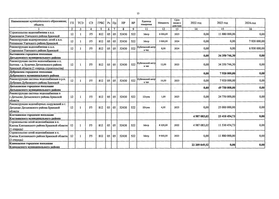
Постановление Правительства Брянской области от 22.12.2022 № 627-п
"О внесении изменений в постановление Правительства Брянской области от 20 декабря 2021 года № 570-п"
Номер опубликования: 3200202212280001
Дата опубликования: 28.12.2022
Страница №30 из 55:
Увеличить