Постановление Правительства Брянской области от 20.12.2022 № 626-п
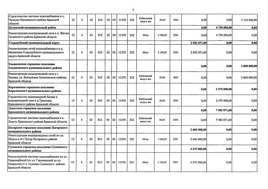
"Об утверждении перечня объектов бюджетных инвестиций государственной собственности региональной адресной инвестиционной программы на 2023 - 2025 годы, перечня объектов капитальных вложений муниципальной собственности региональной адресной инвестиционной программы на 2023 - 2025 годы, перечня объектов недвижимого имущества региональной адресной инвестиционной программы на 2023 — 2025 годы, приобретаемого в государственную собственность Брянской области, и перечня объектов недвижимого имущества региональной адресной инвестиционной программы на 2023 - 2025 годы, приобретаемого в муниципальную собственность Брянской области"
"Об утверждении перечня объектов бюджетных инвестиций государственной собственности региональной адресной инвестиционной программы на 2023 - 2025 годы, перечня объектов капитальных вложений муниципальной собственности региональной адресной инвестиционной программы на 2023 - 2025 годы, перечня объектов недвижимого имущества региональной адресной инвестиционной программы на 2023 — 2025 годы, приобретаемого в государственную собственность Брянской области, и перечня объектов недвижимого имущества региональной адресной инвестиционной программы на 2023 - 2025 годы, приобретаемого в муниципальную собственность Брянской области"
Номер опубликования: 3200202212260005
Дата опубликования:
26.12.2022
