Официальное опубликование правовых актов
ОФИЦИАЛЬНОЕ ОПУБЛИКОВАНИЕ
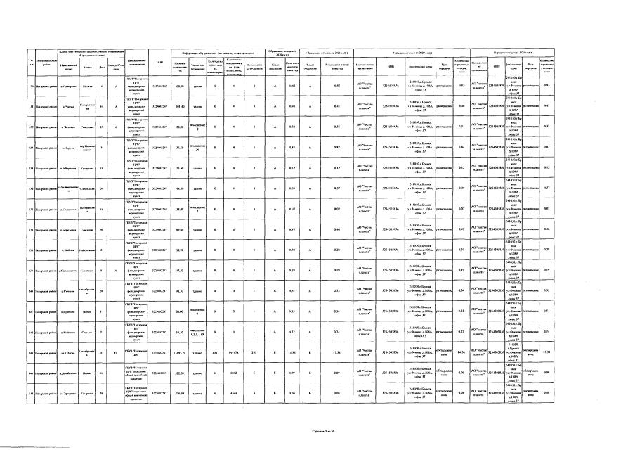
Постановление Правительства Брянской области от 28.11.2022 № 563-п
"О внесении изменений в постановление Правительства Брянской области от 19 декабря 2016 года № 642-п "Об утверждении территориальной схемы обращения с отходами Брянской области"
Номер опубликования: 3200202212020002
Дата опубликования: 02.12.2022
Страница №97 из 627:
Увеличить