Официальное опубликование правовых актов
ОФИЦИАЛЬНОЕ ОПУБЛИКОВАНИЕ
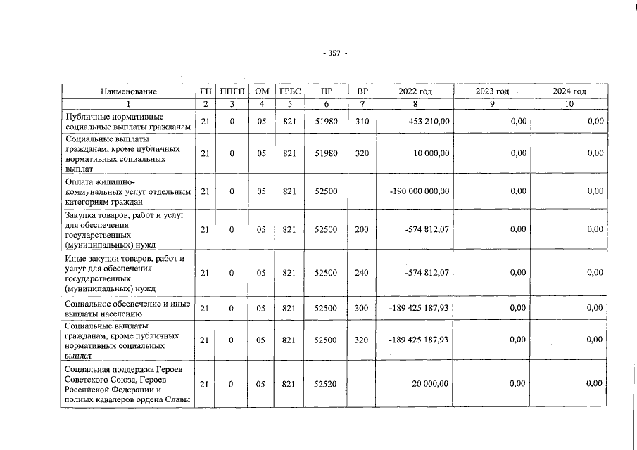
Закон Брянской области от 23.09.2022 № 64-З
"О внесении изменений в Закон Брянской области "Об областном бюджете на 2022 год и на плановый период 2023 и 2024 годов"
Номер опубликования: 3200202209230025
Дата опубликования: 23.09.2022
Страница №357 из 483:
Увеличить