Официальное опубликование правовых актов
ОФИЦИАЛЬНОЕ ОПУБЛИКОВАНИЕ
Постановление Правительства Брянской области от 01.08.2022 № 328-п
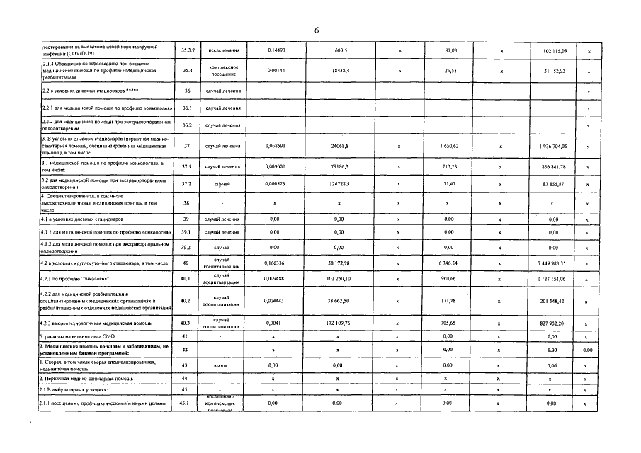
"О внесении изменений в постановление Правительства Брянской области от 30 декабря 2021 года № 673-п "О территориальной программе государственных гарантий бесплатного оказания гражданам медицинской помощи на 2022 год и на плановый период 2023 и 2024 годов"
Номер опубликования: 3200202208050005
Дата опубликования: 05.08.2022
Страница №27 из 33:
Увеличить