Официальное опубликование правовых актов
ОФИЦИАЛЬНОЕ ОПУБЛИКОВАНИЕ
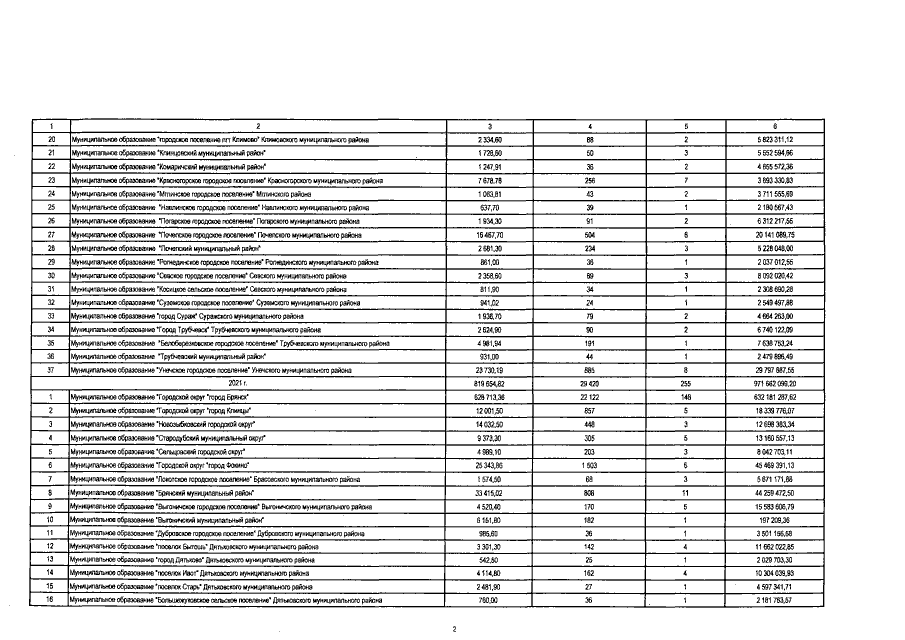
Постановление Правительства Брянской области от 30.05.2022 № 219-п
"О внесении изменений в краткосрочный (2020 — 2022 годы) план реализации региональной программы "Проведение капитального ремонта общего имущества многоквартирных домов на территории Брянской области" (2014 — 2043 годы)"
Номер опубликования: 3200202206010009
Дата опубликования: 01.06.2022
Страница №41 из 43:
Увеличить