Официальное опубликование правовых актов
ОФИЦИАЛЬНОЕ ОПУБЛИКОВАНИЕ
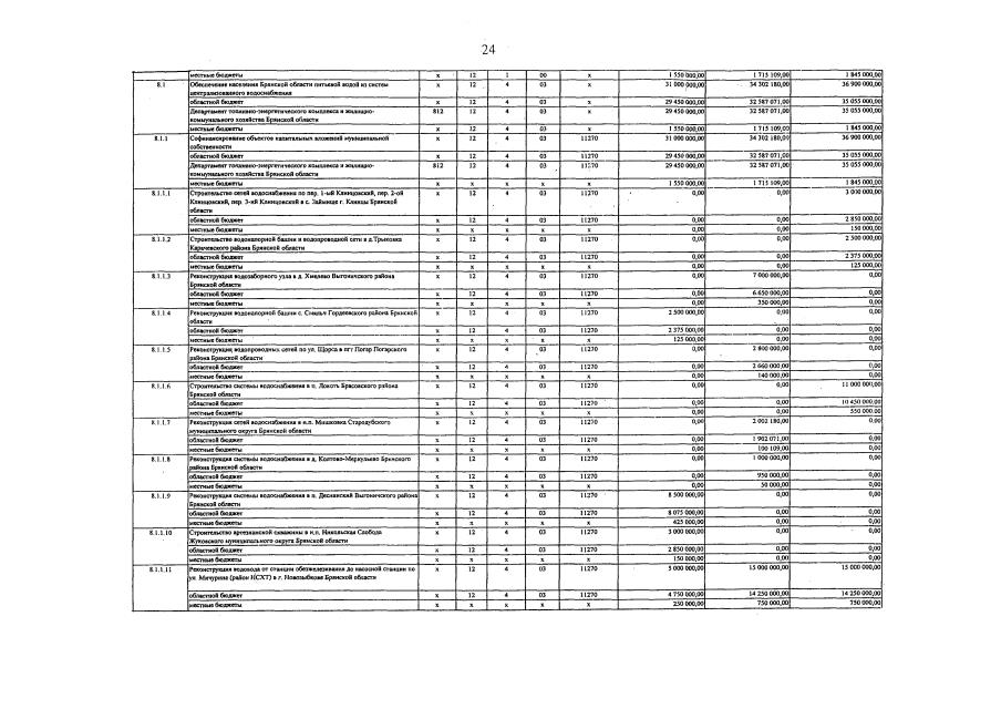
Постановление Правительства Брянской области от 25.02.2022 № 60-п
"О внесении изменений в государственную программу "Развитие топливно-энергетического комплекса и жилищно-коммунального хозяйства Брянской области"
Номер опубликования: 3200202203040001
Дата опубликования: 04.03.2022
Страница №24 из 208:
Увеличить