Официальное опубликование правовых актов
ОФИЦИАЛЬНОЕ ОПУБЛИКОВАНИЕ
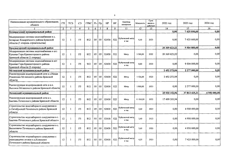
Постановление Правительства Брянской области от 07.02.2022 № 42-п
"О внесении изменений в постановление Правительства Брянской области от 20 декабря 2021 года № 570-п"
Номер опубликования: 3200202202090018
Дата опубликования: 09.02.2022
Страница №26 из 53:
Увеличить