Официальное опубликование правовых актов
ОФИЦИАЛЬНОЕ ОПУБЛИКОВАНИЕ
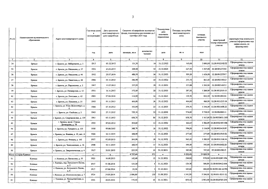
Постановление Правительства Брянской области от 20.12.2021 № 569-п
"О внесении изменений в региональную адресную программу "Переселение граждан из аварийного жилищного фонда на территории Брянской области" (2019 — 2024 годы)"
Номер опубликования: 3200202112230003
Дата опубликования: 23.12.2021
Страница №7 из 14:
Увеличить