Официальное опубликование правовых актов
ОФИЦИАЛЬНОЕ ОПУБЛИКОВАНИЕ
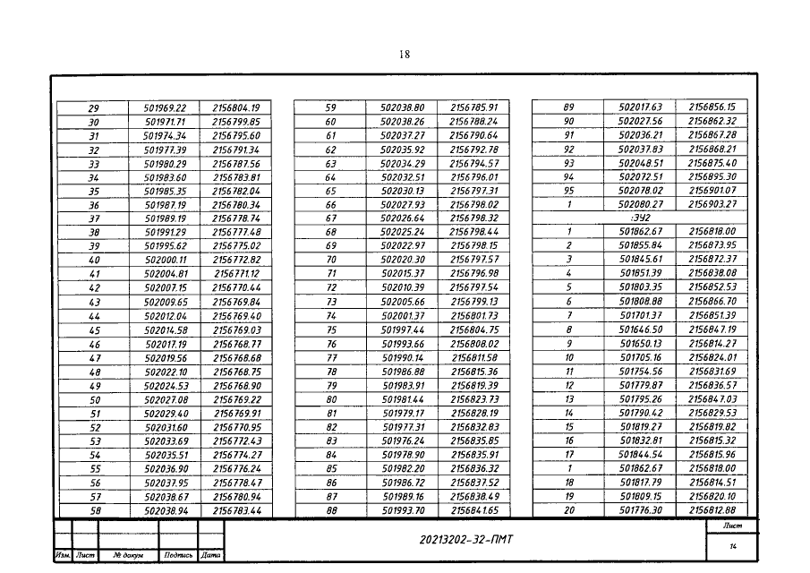
Постановление Правительства Брянской области от 20.12.2021 № 582-п
"Об утверждении основной части проекта межевания территории для размещения линейного объекта "Строительство моста через реку Десна на км 1+250 автомобильной дороги Подъезд к д. Сельцо в Брянском районе Брянской области"
Номер опубликования: 3200202112220011
Дата опубликования: 22.12.2021
Страница №19 из 21:
Увеличить