Официальное опубликование правовых актов
ОФИЦИАЛЬНОЕ ОПУБЛИКОВАНИЕ
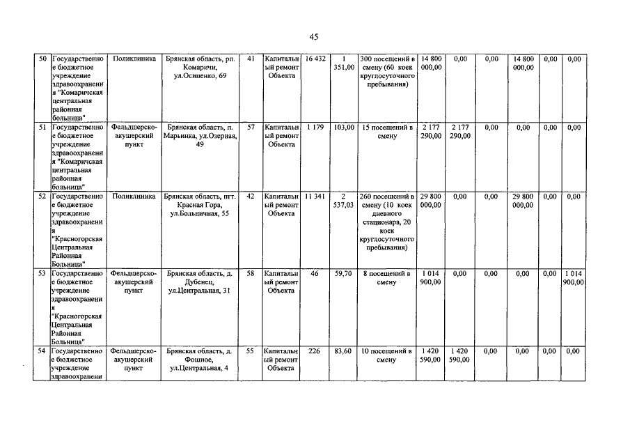
Постановление Правительства Брянской области от 20.12.2021 № 548-п
"О внесении изменений в региональную программу "Модернизация первичного звена здравоохранения Брянской области"
Номер опубликования: 3200202112220005
Дата опубликования: 22.12.2021
Страница №45 из 230:
Увеличить