Официальное опубликование правовых актов
ОФИЦИАЛЬНОЕ ОПУБЛИКОВАНИЕ
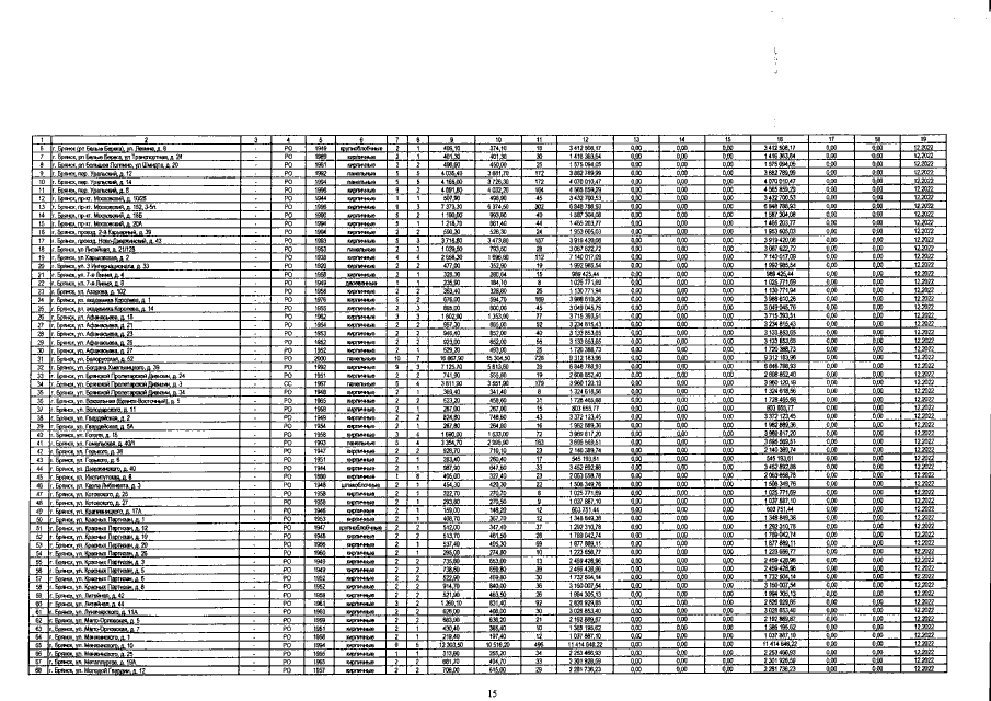
Постановление Правительства Брянской области от 01.02.2021 № 26-п
"О внесении изменений в краткосрочный (2020 - 2022 годы) план реализации региональной программы "Проведение капитального ремонта общего имущества многоквартирных домов на территории Брянской области" (2014 - 2043 годы)"
Номер опубликования: 3200202102050002
Дата опубликования: 05.02.2021
Страница №17 из 44:
Увеличить