Официальное опубликование правовых актов
ОФИЦИАЛЬНОЕ ОПУБЛИКОВАНИЕ
Постановление Правительства Брянской области от 30.12.2020 № 726-п
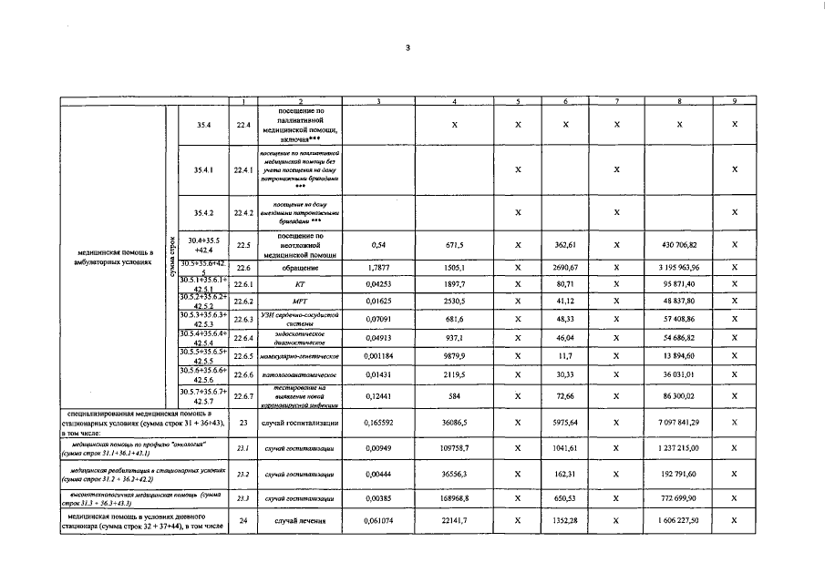
"О территориальной программе государственных гарантий бесплатного оказания гражданам медицинской помощи на 2021 год и на плановый период 2022 и 2023 годов"
Номер опубликования: 3200202012300020
Дата опубликования: 30.12.2020
Страница №144 из 163:
Увеличить