Официальное опубликование правовых актов
ОФИЦИАЛЬНОЕ ОПУБЛИКОВАНИЕ
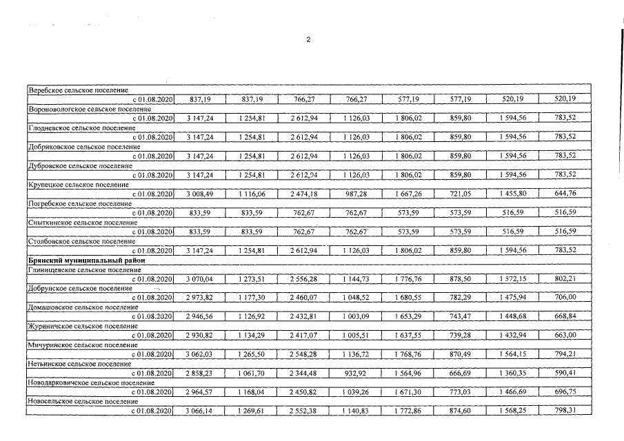
Постановление Правительства Брянской области от 21.12.2020 № 638-п
"О региональных стандартах стоимости жилищно- коммунальных услуг, используемых для расчета субсидий на оплату жилого помещения и коммунальных услуг"
Номер опубликования: 3200202012250031
Дата опубликования: 25.12.2020
Страница №35 из 48:
Увеличить