Официальное опубликование правовых актов
ОФИЦИАЛЬНОЕ ОПУБЛИКОВАНИЕ
Постановление Правительства Брянской области от 14.12.2020 № 593-п
"Об утверждении региональной программы "Модернизация первичного звена здравоохранения Брянской области"
Номер опубликования: 3200202012230004
Дата опубликования: 23.12.2020
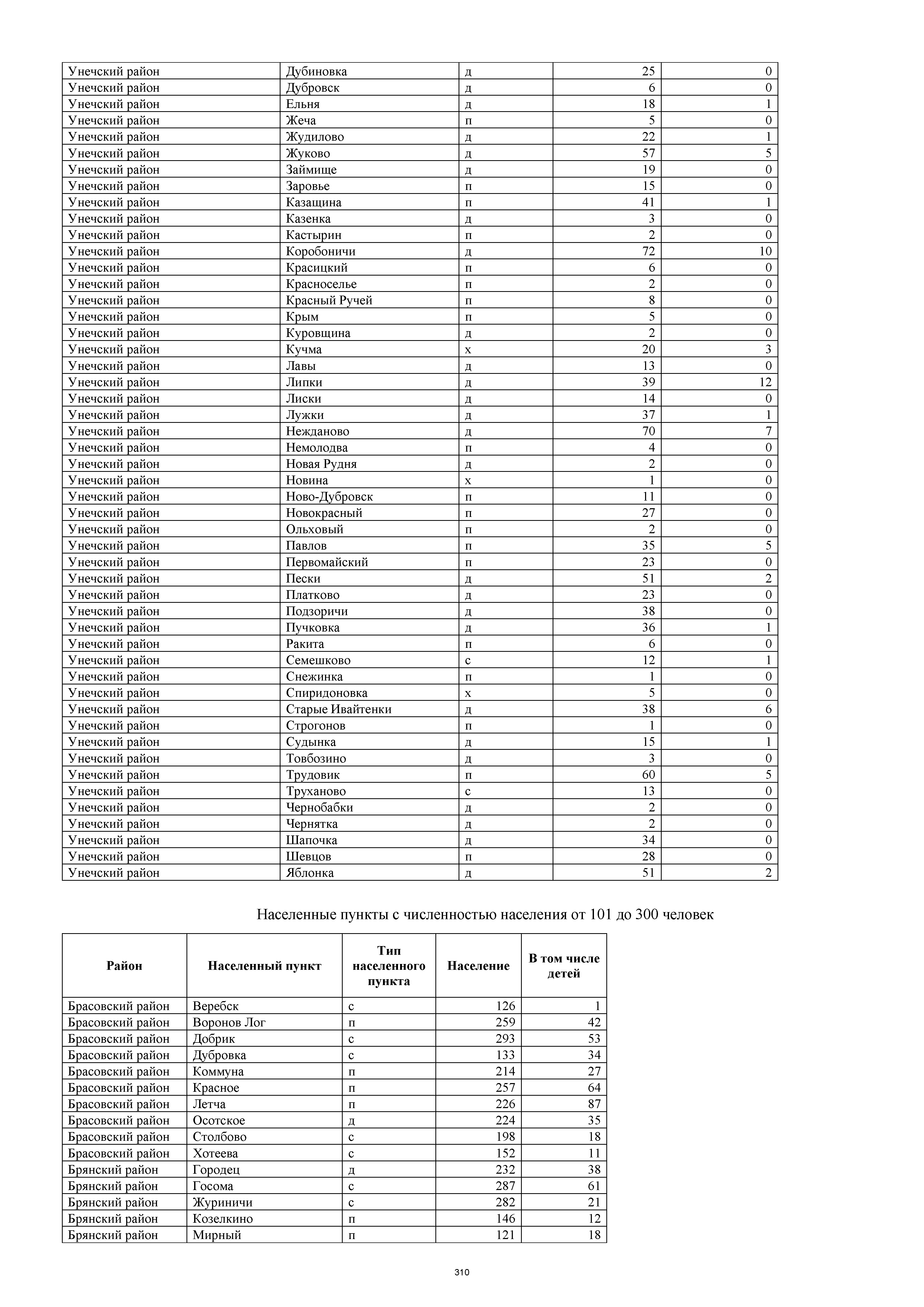
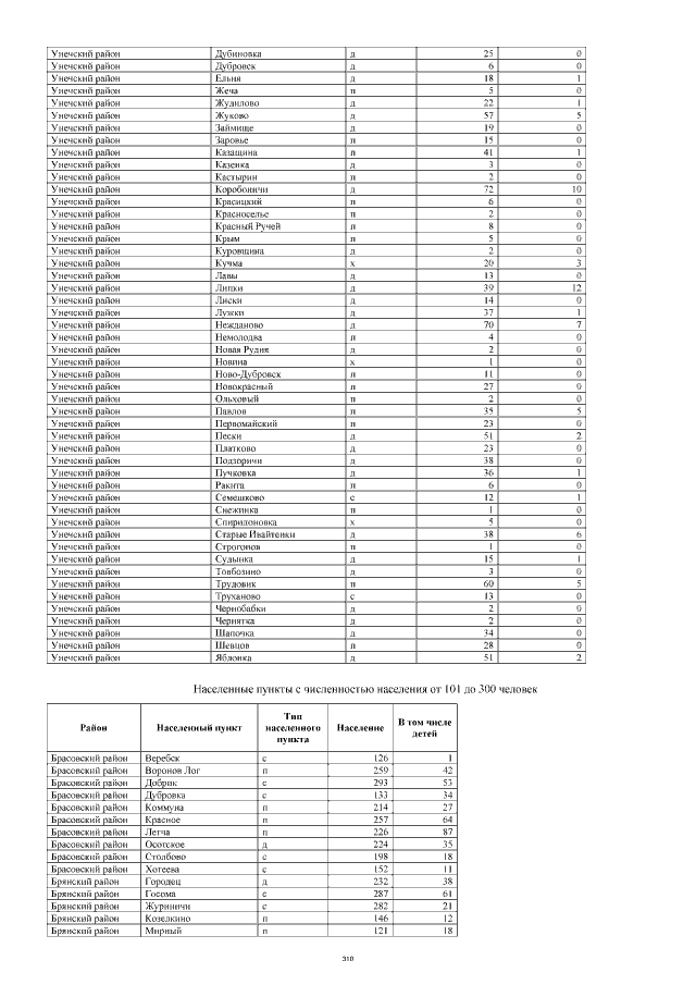
Страница №311 из 799: