Официальное опубликование правовых актов
ОФИЦИАЛЬНОЕ ОПУБЛИКОВАНИЕ
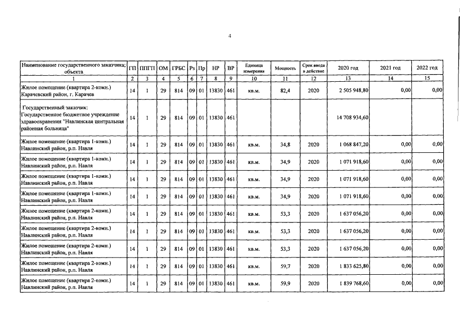
Постановление Правительства Брянской области от 16.12.2020 № 611-п
"О внесении изменений в постановление Правительства Брянской области от 30 декабря 2019 года № 723-п"
Номер опубликования: 3200202012180008
Дата опубликования: 18.12.2020
Страница №118 из 121:
Увеличить