Официальное опубликование правовых актов
ОФИЦИАЛЬНОЕ ОПУБЛИКОВАНИЕ
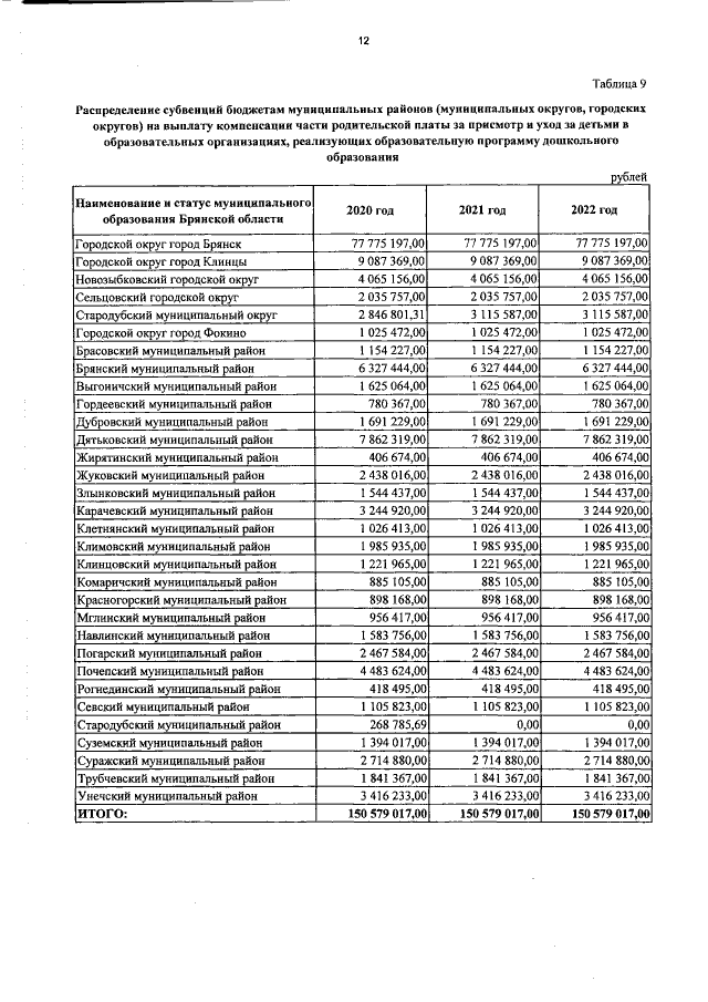
Закон Брянской области от 10.12.2020 № 106-З
"О внесении изменений в Закон Брянской области "Об областном бюджете на 2020 год и на плановый период 2021 и 2022 годов"
Номер опубликования: 3200202012110009
Дата опубликования: 11.12.2020
Страница №420 из 490:
Увеличить