Официальное опубликование правовых актов
ОФИЦИАЛЬНОЕ ОПУБЛИКОВАНИЕ
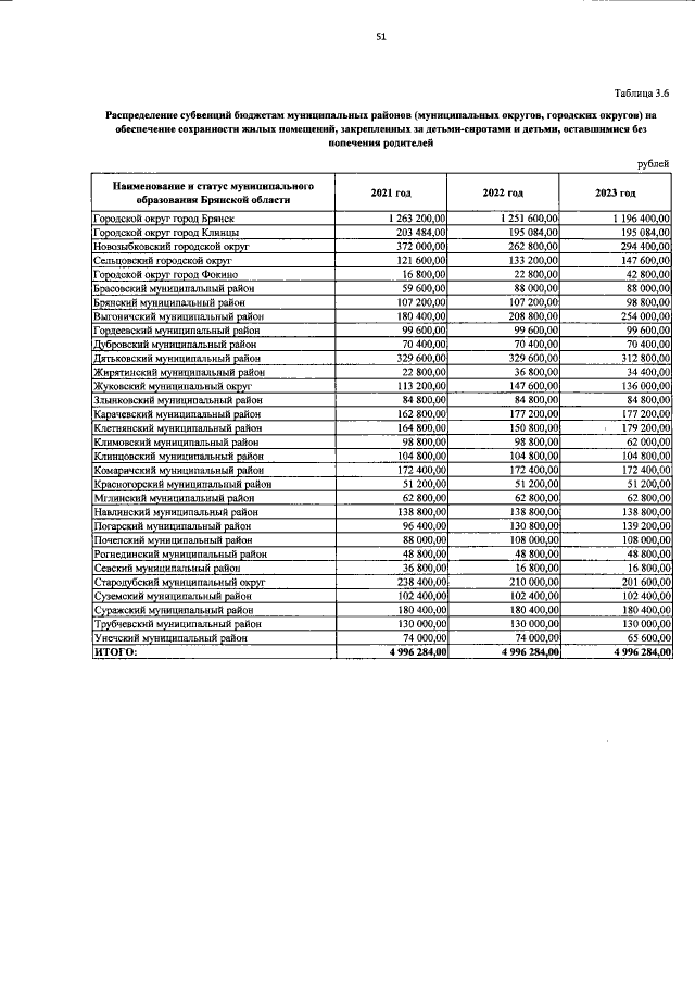
Закон Брянской области от 10.12.2020 № 105-З
"Об областном бюджете на 2021 год и на плановый период 2022 и 2023 годов"
Номер опубликования: 3200202012110005
Дата опубликования: 11.12.2020
Страница №411 из 429:
Увеличить