Официальное опубликование правовых актов
ОФИЦИАЛЬНОЕ ОПУБЛИКОВАНИЕ
Закон Брянской области от 29.05.2020 № 47-З
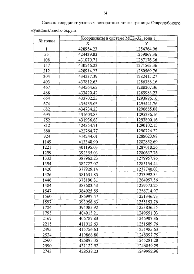
"Об объединении муниципальных образований, входящих в состав Стародубского муниципального района, с муниципальным образованием города Стародуб со статусом городского округа, наделении муниципального образования города Стародуб со статусом городского округа статусом муниципального округа и внесении изменений в отдельные законодательные акты Брянской области"
Номер опубликования: 3200202006020007
Дата опубликования: 02.06.2020
Страница №14 из 23:
Увеличить