Официальное опубликование правовых актов
ОФИЦИАЛЬНОЕ ОПУБЛИКОВАНИЕ
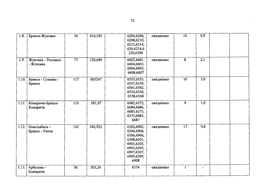
Распоряжение Правительства Брянской области от 23.12.2019 № 291-рп
"О внесении изменений в комплексный план транспортного обслуживания населения Брянской области на средне- и долгосрочную перспективу (до 2030 года) в части пригородных пассажирских перевозок"
Номер опубликования: 3200201912300016
Дата опубликования: 30.12.2019
Страница №52 из 56:
Увеличить