Официальное опубликование правовых актов
ОФИЦИАЛЬНОЕ ОПУБЛИКОВАНИЕ
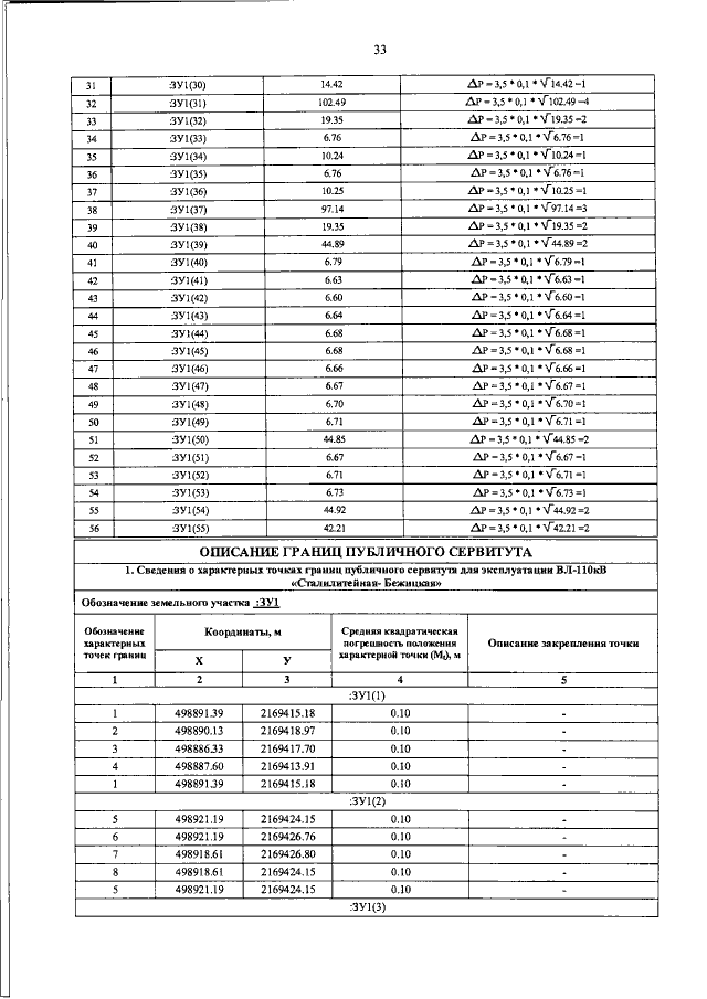
Постановление Правительства Брянской области от 23.12.2019 № 657-п
"Об установлении публичного сервитута"
Номер опубликования: 3200201912270002
Дата опубликования: 27.12.2019
Страница №37 из 50:
Увеличить