Официальное опубликование правовых актов
ОФИЦИАЛЬНОЕ ОПУБЛИКОВАНИЕ
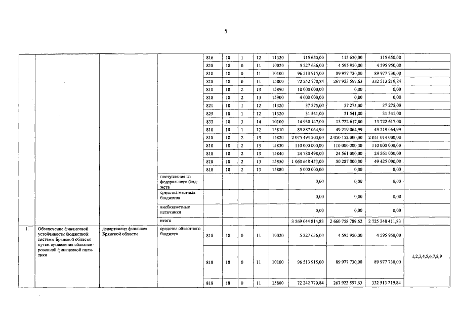
Постановление Правительства Брянской области от 23.09.2019 № 433-п
"О внесении изменений в государственную программу "Управление государственными финансами Брянской области"
Номер опубликования: 3200201909300011
Дата опубликования: 30.09.2019
Страница №5 из 18:
Увеличить