Официальное опубликование правовых актов
ОФИЦИАЛЬНОЕ ОПУБЛИКОВАНИЕ
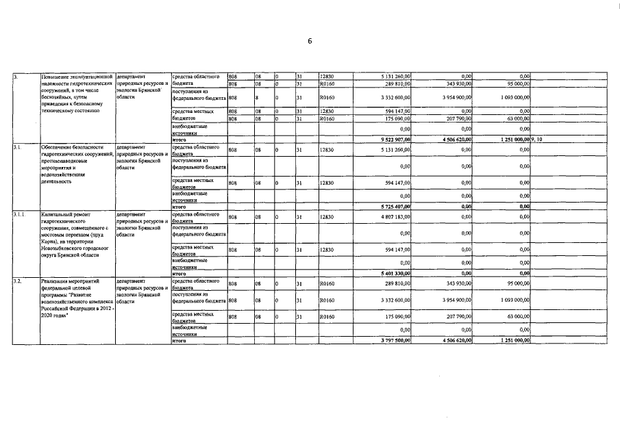
Постановление Правительства Брянской области от 12.09.2019 № 425-п
"О внесении изменений в государственную программу "Охрана окружающей среды, воспроизводство и использование природных ресурсов Брянской области"
Номер опубликования: 3200201909120001
Дата опубликования: 12.09.2019
Страница №6 из 16:
Увеличить