Официальное опубликование правовых актов
ОФИЦИАЛЬНОЕ ОПУБЛИКОВАНИЕ
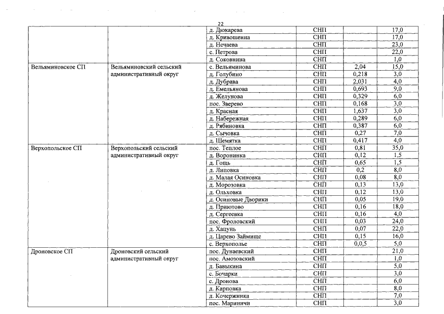
Постановление Правительства Брянской области от 05.08.2019 № 343-п
"Об утверждении реестра административно- территориальных единиц, административных округов, населенных пунктов Брянской области"
Номер опубликования: 3200201908120001
Дата опубликования: 12.08.2019
Страница №23 из 159:
Увеличить