Официальное опубликование правовых актов
ОФИЦИАЛЬНОЕ ОПУБЛИКОВАНИЕ
Постановление Правительства Брянской области от 08.07.2019 № 294-п
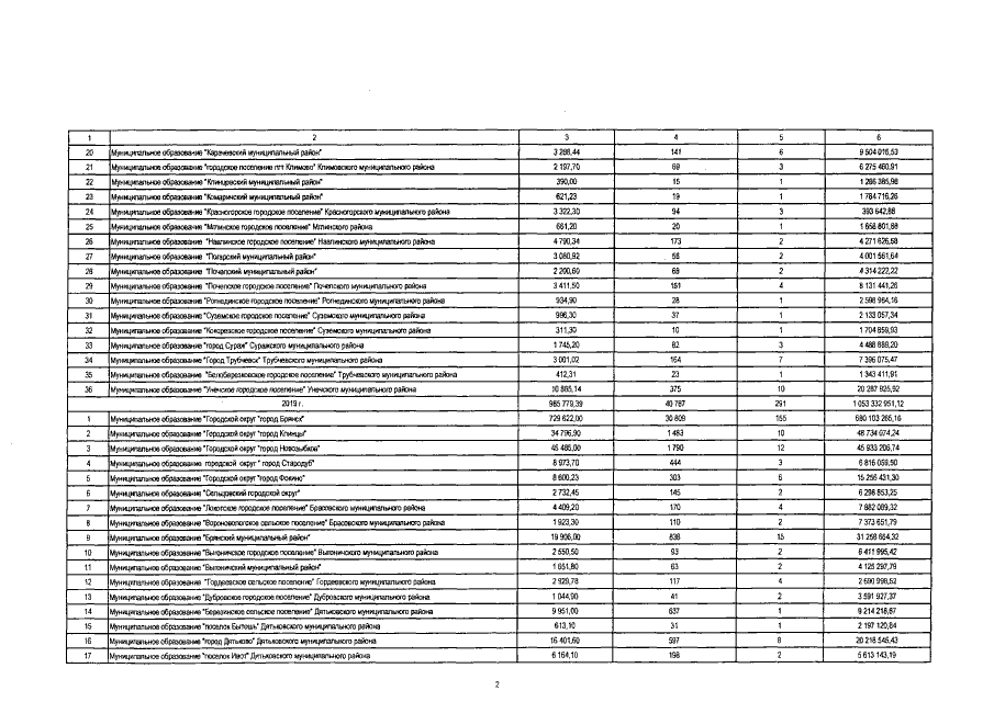
"О внесении изменений в краткосрочный (2017 — 2019 годы) план реализации региональной программы "Проведение капитального ремонта общего имущества многоквартирных домов на территории Брянской области" (2014 — 2043 годы)"
Номер опубликования: 3200201907120004
Дата опубликования: 12.07.2019
Страница №52 из 53:
Увеличить