Официальное опубликование правовых актов
ОФИЦИАЛЬНОЕ ОПУБЛИКОВАНИЕ
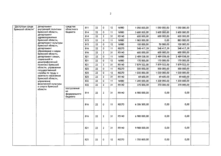
Постановление Правительства Брянской области от 01.07.2019 № 280-п
"О внесении изменений в приложение 3 к государственной программе "Доступная среда Брянской области"
Номер опубликования: 3200201907090003
Дата опубликования: 09.07.2019
Страница №2 из 19:
Увеличить