Официальное опубликование правовых актов
ОФИЦИАЛЬНОЕ ОПУБЛИКОВАНИЕ
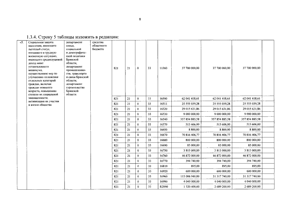
Постановление Правительства Брянской области от 01.07.2019 № 282-п
"О внесении изменений в государственную программу "Социальная и демографическая политика Брянской области"
Номер опубликования: 3200201907090001
Дата опубликования: 09.07.2019
Страница №8 из 19:
Увеличить