Официальное опубликование правовых актов
ОФИЦИАЛЬНОЕ ОПУБЛИКОВАНИЕ
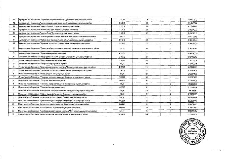
Постановление Правительства Брянской области от 22.04.2019 № 165-п
"Об утверждении краткосрочного (2020 - 2022 годы) плана реализации региональной программы "Проведение капитального ремонта общего имущества многоквартирных домов на территории Брянской области" (2014 - 2043 годы)"
Номер опубликования: 3200201904250001
Дата опубликования: 25.04.2019
Страница №45 из 45:
Увеличить