Официальное опубликование правовых актов
ОФИЦИАЛЬНОЕ ОПУБЛИКОВАНИЕ
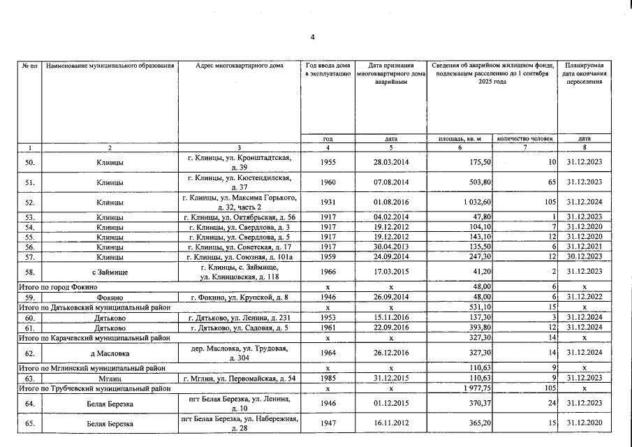
Постановление Правительства Брянской области от 01.04.2019 № 148-п
"Об утверждении региональной адресной программы "Переселение граждан из аварийного жилищного фонда на территории Брянской области" (2019 - 2024 годы)"
Номер опубликования: 3200201904040015
Дата опубликования: 04.04.2019
Страница №28 из 32:
Увеличить