Официальное опубликование правовых актов
ОФИЦИАЛЬНОЕ ОПУБЛИКОВАНИЕ
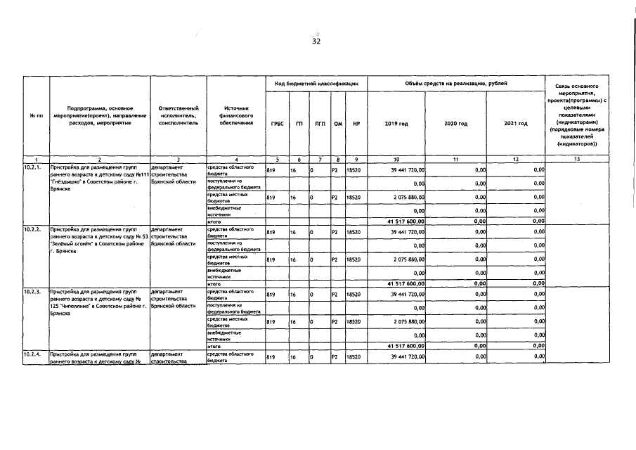
Постановление Правительства Брянской области от 31.12.2018 № 764-п
"Об утверждении государственной программы "Развитие образования и науки Брянской области"
Номер опубликования: 3200201901100009
Дата опубликования: 10.01.2019
Страница №71 из 111:
Увеличить