Официальное опубликование правовых актов
ОФИЦИАЛЬНОЕ ОПУБЛИКОВАНИЕ
Постановление Правительства Брянской области от 24.12.2018 № 674-п
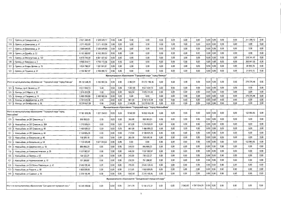
"Об итогах выполнения краткосрочного (2016 год) плана реализации региональной программы "Проведение капитального ремонта общего имущества многоквартирных домов на территории Брянской области" (2014 — 2043 годы)"
Номер опубликования: 3200201812270001
Дата опубликования: 27.12.2018
Страница №19 из 30:
Увеличить