Постановление Правительства Брянской области от 01.10.2018 № 514-п
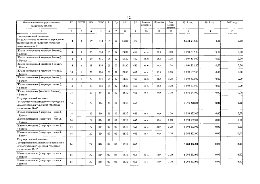
"О внесении изменений в постановление Правительства Брянской области от 28 декабря 2017 года № 755-п "Об утверждении перечней объектов бюджетных инвестиций государственной собственности региональной адресной инвестиционной программы на 2018 год и на плановый период 2019 — 2020 годов и перечней объектов капитальных вложений муниципальной собственности региональной адресной инвестиционной программы на 2018 год и на плановый период 2019 — 2020 годов"
"О внесении изменений в постановление Правительства Брянской области от 28 декабря 2017 года № 755-п "Об утверждении перечней объектов бюджетных инвестиций государственной собственности региональной адресной инвестиционной программы на 2018 год и на плановый период 2019 — 2020 годов и перечней объектов капитальных вложений муниципальной собственности региональной адресной инвестиционной программы на 2018 год и на плановый период 2019 — 2020 годов"
Номер опубликования: 3200201810050001
Дата опубликования:
05.10.2018
